Lessico dell'acciaio
Daido DRM3
C | Si | Mn | Cr | Mo | W | V | |
---|---|---|---|---|---|---|---|
Analisi chimica ponderata % | 0,8 | 0,7 | 0,3 | 5,4 | 4,5 | 1,0 | 1,2 |
Temperature di trattamento | Durezza | ||||
---|---|---|---|---|---|
Deformazione a caldo | Ricottura | Tempra | Rinvenimento | Ricotto | Temprato |
(su richiesta) | 800 - 880°C raffreddamento lento (≤ 20°C/min) |
1.100 - 1.140°C raffreddamento in olio, gas o bagno di salamoia |
550 - 620°C almeno 2 volte rinvenimento, raffreddamento ad aria |
≤ 235 HB | 62 - 66 HRC |
Proprietà fisiche | ||||||||
---|---|---|---|---|---|---|---|---|
Coefficiente di dilatazione termica [10-6/K] | 20 - 100°C | 20 - 200°C | 20 - 300°C | 20 - 400°C | 20 - 500°C | 20 - 600°C | ||
11,1 | 11,5 | 11,9 | 12,2 | 12,4 | 12,7 | |||
Conducibilità termica [W/mK] | 25°C | 200°C | 300°C | 400°C | 500°C | 600°C | ||
18 | 21,5 | 23,1 | 24,4 | 25,2 | 26,0 | |||
Calore specifico [J/kgK] | 25°C | 200°C | 300°C | 400°C | 500°C | 600°C | ||
424 | 480 | 520 | 560 | 698 | 830 |
Modulo di elasticità = 210 GPa, Prova temprata a 1.140°C, doppio rinvenimento a 560°C
Microstruttura
DRM3
(nel centro della barra ∅ 100 mm)

Acciaio da lavoro caldo convenzionale
(Daido)

Trattamento di rinvenimento
Prova: Quadrato 15 mm, Tempra in olio, Rinvenimento con raffreddamento all'aria

Tenacità al colpo di Charpy
Prove: prelevate da acciaio tondo, nel centro di ∅ 100 mm, prova a U intagliata

Trattamento termico | ||
---|---|---|
Tempra | Rinvenimento | |
DRM3 | 1.140°C, temprato in olio | 540 - 600°C, doppio rinvenimento |
1.3343 | 1.210°C, temprato in olio | 540 - 600°C, doppio rinvenimento |
Durezza a temperature elevate

Trattamento termico | ||
---|---|---|
Tempra | Rinvenimento | |
DRM3 | 1.140°C, temprato in olio | 560°C, doppio rinvenimento |
1.3343 | 1.200°C, temprato in olio | 580°C, doppio rinvenimento |
Resistenza alla fessurazione a caldo
Prova: quadrato ∅ 15 mm, spessore 10 mm

Trattamento termico | ||
---|---|---|
Tempra | Rinvenimento | |
DRM3 | 1.120°C, temprato in olio | 560 - 620°C, doppio rinvenimento |
1.3343 | 1.200°C, temprato in olio | 560°C, doppio rinvenimento |
Metodo di prova | Induzione 1.000 volte a 600°C e raffreddamento a 20°C |
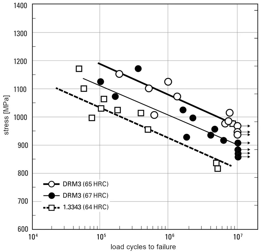
Resistenza a fatica / Affaticamento del materiale
Campioni: dal centro di un acciaio tondo ∅ 100 mm

Trattamento termico | ||
---|---|---|
Tempra | Rinvenimento | |
DRM3 (65 HRC) | 1.100°C, temprato in olio | 560°C, doppio rinvenimento |
DRM3 (67 HRC) | 1.140°C, temprato in olio | 550°C, doppio rinvenimento |
1.3343 | 1.140°C, temprato in olio | 560°C, doppio rinvenimento |
Metodo di prova | Prova di Wohler a temperatura ambiente |
Variazione dimensionale durante la tempra
Campioni: acciaio tondo ∅ 100 mm x 60 mm di lunghezza

Trattamento termico | |
---|---|
Tempra | |
DRM3 | 1.140°C, temprato in bagno di sale |
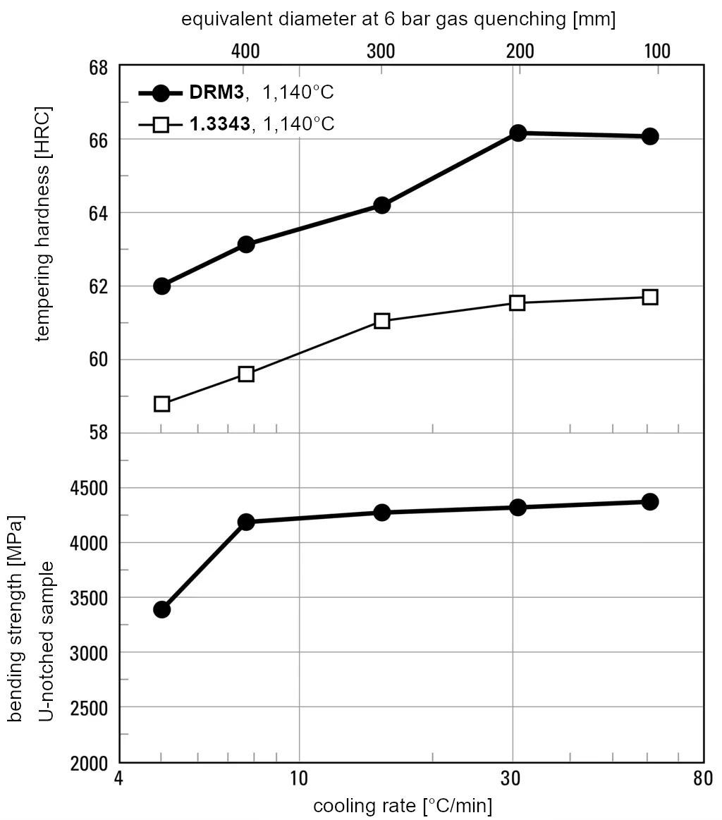
Temprabilità
Influenza della velocità di raffreddamento sulla resistenza alla flessione

Diagramma CCT per il raffreddamento continuo

Processi di tempra
Bagno di sale

Vuoto

Temperature di trasformazione:
AC1 = 830°C, Ms = 175°C
La temperatura di tempra del DRM3 è di 1.100 – 1.140°C
Bagno di sale | Vuoto | |
---|---|---|
Spessore [mm] | Tempo di mantenimento [min] | Tempo di mantenimento [min] |
fino a 12 | 8 - 10 | 20 - 30 per 25 mm di spessore |
fino a 25 | 10 - 15 | |
fino a 36 | 15 - 20 | |
fino a 50 | 20 - 25 | |
fino a 100 | 30 - 40 | 10 - 20 per 25 mm di spessore |
oltre 100 | 30 - 40 |
Nitrurazione

Esempio della microstruttura di una superficie nitrurata dopo il processo PS di Daido Amistar.
Profilo di durezza dopo la nitrurazione

La durezza superficiale raggiunge qui 1.280 HV con NHD = 0,2 mm.
Vengono forniti sempre valori tecnici rappresentativi basati sulle nostre indagini. Non costituiscono garanzie se non diversamente specificato. Si prega di consultare un esperto per i singoli casi.